«Оемикс-П», «Промикс» и «Олиплюс» являются продуктами компании MASLINA INTERNATIONAL TRADE, S.L., которые предлагаются для добавления в корма для животных. Все они зарегистрированы в соответствии с ПОСТАНОВЛЕНИЕМ КОМИССИИ (ЕС) № 68/2013 К (Часть С: 2.11.1) от 16 января 2013 г. в каталоге сырья для кормов, в категории «Оливковый жмых». В Республике Беларусь продукты из выжимки оливок и частей оливкового дерева были зарегистрированы Департаментом ветеринарного и продовольственного надзора Министерства сельского хозяйства и продовольствия РБ, как кормовые добавки для сельскохозяйственных животных и птицы с целью оптимизации процессов пищеварения, повышения сохранности и продуктивности, снижения количества кишечных заболеваний. Лабораторные и производственные и испытания в кормлении с/х животных и птицы в Республике Беларусь проводили РУП «Научно-практический центр Национальной академии наук Беларуси по животноводству», г. Жодино, РУП «Опытная научная станция по птицеводству», г. Заславль и «Витебская государственная академия ветеринарной медицины», г. Витебск.
Различия между вышеупомянутыми продуктами заключаются как в их внешнем виде, так и в наличии разных активных ингредиентов, ответственных за оказываемое действие на организм животного.
| Наименование | Классификация | Внешний вид | Принцип активного действия |
|---|---|---|---|
| Оемикс-П | Мука оливкового жмыха | Порошок коричневого цвета | Терпены оливки |
| Олиплюс | Мука оливкового жмыха | Порошок св. коричневого цвета | Терпены и полифенолы оливки |
Присутствие этих биоактивных молекул оливкового дерева придает продуктам ряд свойств, которые позволяют использовать их в качестве кормовых добавок для животных чтобы улучшить кишечную переваримость и абсорбцию, а также барьерную функцию кишечника, ослабить реакцию на воспалительные процессы и увеличить рост животных, особенно на первых стадиях жизни.
Биологические свойства терпенов
Терпены — это длинноцепочечные органические кислоты, содержащиеся в оливковом воске.

Терпены, попадая через желудочно-кишечный тракт, вызывают в организме ряд эффектов, связанных с иммуномодуляцией и противовоспалительным действием, напрямую воздействуют на кишечный эпителий, тем самым увеличивая его массу и целостность, а также противопаразитарное действие на паразитов типа Apicomplexa и других паразитов которые используют сериновые протеазы в рамках своей стратегии паразитирования и колонизации тканей.
Биологические свойства полифенолов
Полифенолы оливкового дерева, присутствующие в кожуре плодов и в оливковых листьях, помимо мощной антиоксидантной активности, присущей всем соединениям этого семейства, обладают стимулирующим действием и гиперплазией кишечного эпителия, увеличивая его целостность и массу, таким образом, увеличивает как барьерную функцию, так и всасывание питательных веществ у животных после раннего отъёма или с некоторыми воспалительными заболеваниями кишечника.

Применение добавок для роста и здоровья животных
Биологические свойства оливковых терпенов и полифенолов, присутствующих в кормовых добавках «Олиплюс», «Оемикс-П» и «Промикс», делают их отличными биологически активными добавками для применения в кормлении животных.
Барьерные промоторы и кишечная абсорбция
Кормовые добавки «Олиплюс», «Оемикс-П» и «Промикс» при пероральном введении с кормом животным позволяют улучшить кишечную переваримость и абсорбцию, а также барьерную функцию кишечника у животных на ранних стадиях роста и развития. Терпены напрямую воздействуют на кишечный эпителий, тем самым увеличивая его массу и целостность. К тому же ускоряется перенос вещества через клеточную мембрану (трансмембранный активный транспорт) с затратой свободной энергии организма, а также процесс восстановления после повреждения кишечной ткани, вызванного патогенами или другими причинами.
Исследование барьерных свойств эпителия линии клеток IPEC-J2 энтероцитов свиней для количественной оценки экспрессии генов, связанных с плотным соединением и трансэпителиальным электрическим сопротивлением (TEER) монослоя.
Через 48 часов после посева и дифференциации монослоя применяли различное лечение (Control – Диметилсульфоксид -0.1%; Oemix Plus – терпены; 215 – конкурентная добавка (прим. Control, oemix plus, 215 – это колонки на графиках)). И через 48 часов после добавления лечения измеряется экспрессия генов OCLDN, ZO-1, CLDN-4 и CDH11, а также трансэпителиальным электрическое сопротивлением (TEER) монослоя (прим. Это всё гены плотного соединения). Результаты показывают влияние Oemix® и Oemix Plus (терпены) на барьерные свойства эпителия, это можно увидеть по значительно увеличившейся экспрессии OCLDN, CDH1 и CLDN4. Аналогичным образом, Oemix® и Promix® (полифенолы) вызвали увеличение трансэпителиального электрического сопротивления (TEER) монослоя, что указывает на потенциальную индукцию и пролиферацию клеток, и / или повышенную экспрессию белков, ответственных за плотное соединение.
Исследование линии клеток IPEC-J2 энтероцитов свиней для количественной оценки экспрессии генов, кодирующих пептидазы и переносчики.
Через 48 часов после посева и дифференциации монослоя применяли различное лечение (Control – Диметилсульфоксид -0.1%; Oemix Plus – терпены; 215 – конкурентная добавка (прим. Control, oemix plus, 215 – это колонки на графиках)). И через 48 часов после добавления лечения измеряется экспрессия генов EEAC1, SLC7A7, ANPEP и DPPIV. Результаты показывают влияние Oemix Plus (терпены) на переносчика аминокислот SLC7A7, значительно увеличивая его экспрессию.
Исходя из Результатов вышеупомянутых исследований, можно отметить, что биомолекулы оливкового дерева в кормовых добавках Оемикс-П, Промикс и Олиплюс, являются натуральными средствами для:
- профилактики диареи и кишечных патологий, в частности у животных на первых этапах их жизни и роста.
- лучшего усвоения питательных веществ, что способствует восстановлению после стрессовых ситуаций, вызванных болезнью или изменениями в питании.
Иммуномодулирующее и противовоспалительное действие
Введение оливковых терпенов оказывает иммуномодулирующий эффект в организме, ослабляя воспалительную реакцию, особенно в кишечнике, а также уменьшает совокупность локальных и системных реакций организма на тканевое повреждение (острофазный ответ), вызванное атакой патогенов.
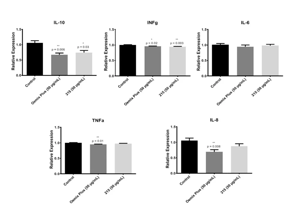
Исследование линии клеток IPEC-J2 энтероцитов свиней для количественной оценки экспрессии генов, связанных с воспалительной реакцией.
Через 48 часов после посева и дифференциации монослоя применяли различное лечение (Control – Диметилсульфоксид -0.1%; Oemix Plus – терпены; 215 – конкурентная добавка (прим. Control, oemix plus, 215 – это колонки на графиках)). И через 48 часов после добавления лечения измеряется экспрессия генов L-10, INFγ, IL-6, TNFα и IL-8. Результаты показывают, как Oemix Plus (терпены) значительно снижает экспрессию провоспалительных цитокинов (TNFα, INFγ и IL-8). Аналогичным образом, в группе Oemix Plus наблюдается снижение экспрессии противовоспалительного цитокина IL-10 как следствие общего ослабления воспалительного состояния.
Благодаря противовоспалительным свойствам терпенов, особенно при воспалительных процессах кишечника, потребление «Оемикс-П» и «Олиплюс» при пероральном введении с кормом обеспечивают животным:
- Уменьшение локальных и системных реакций организма животного на тканевое повреждение (острофазный ответ), вызванное атакой патогенов.
- Меньшее повреждение тканей эпителия кишечника, вызванного агрессией или другими триггерами воспалительных процессов в кишечнике.
- Лучшую подготовленность иммунной системы к реагированию на новые инфекции или атаки патогенов.
Профилактика кишечной инфекции
Одно из уже проявленных биологических свойств оливковых терпенов — ингибирование действия ферментов сериновой протеазы. Эти ферменты используются множеством кишечных паразитов в качестве важных факторов вирулентности для колонизации тканей.
Из-за ингибирующего действия ферментов сериновой протеазы терпены при пероральном введении с кормом животным могут быть хорошей альтернативой использованию классических кокцидиостатиков и противопаразитарных препаратов. Таким образом, терпены, присутствующие с кормом в кишечнике, где обнаруживаются кокцидии и кишечные паразиты (например, кишечные черви и т. д.), препятствуют заражению, предотвращая колонизацию кишечника, подавляя активность этих паразитических ферментов. Это действие терпенов объясняется их стимулирующим действием на барьерную функцию кишечника и иммуномодулирующим эффектом.
Гистологический срез слепой кишки различных экспериментальных групп, инфицированных E. tenella, через 120 часов после инфицирования, окрашенный гематоксилин-эозином, цыплят, инфицированных ооцистами Eimeria tenella.
A) Контрольная группа не лечилась. Слепая кишка, где наблюдается разрушение слизистой оболочки и эпителиальных клеток — стрелки — гипертрофия и псевдополипоидные образования ворсинок — звездочки. (B) Группа, получавшая салиномицин. Псевдополипоидные образования — звездочки — и незначительное разрушение ткани слепой кишки — наконечник стрелы. (C) Группа, получавшая биоактивный экстракт оливок, богатый терпенами (OBE). Менее выраженные полиповидные образования, чем в других группах — звёздочки — и отсутствие деструкции ткани слепой кишки. Наблюдается защитный эффект против колонизации и разрушения эпителия, вызванного кокцидиями, как в группе, получавшей салиномицин, так и в группе, получавшей биоактивный экстракт оливок.
Благодаря этому свойству, «Оемикс-П» и «Олиплюс» вводимые с кормом для животных, предотвращают появление и развитие паразитарных кишечных заболеваний, таких как кокцидии.








